Geomembran



Apa itu Geomembran?
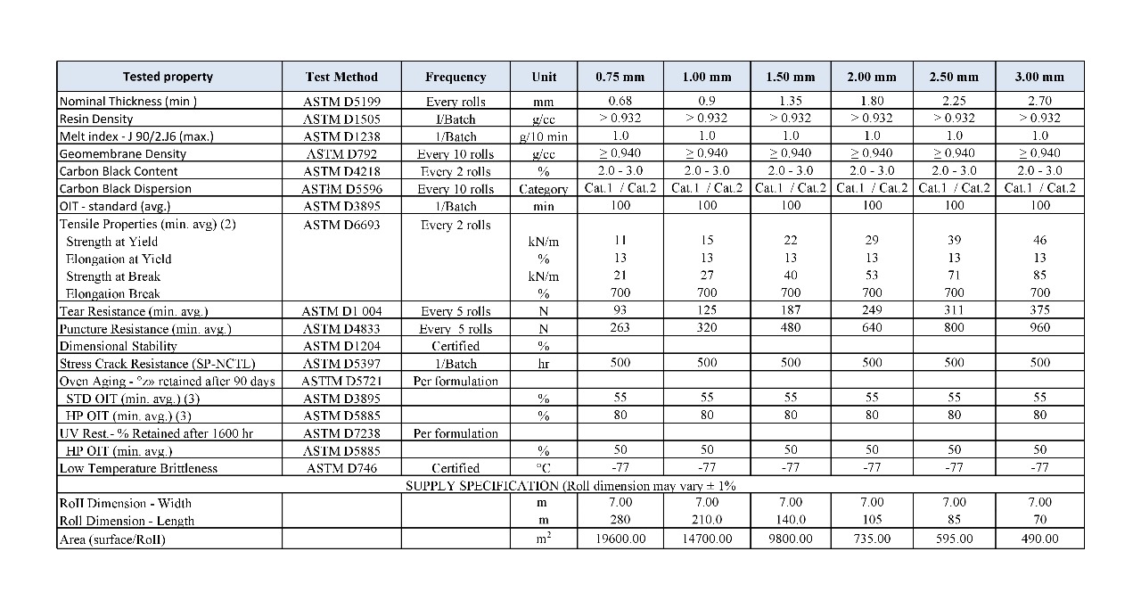
Geomembran merk Urban Plastic adalah lembaran plastik tebal yang terbuat dari bahan High Density Polyethylene (HDPE). Geomembran umumnya digunakan sebagai alas tambak, alas pembuatan jalan raya, embung, dan lainnya. Selain itu, geomembran ini mempunyai lapisan Black Carbon UV sehingga tahan lama di bawah Sinar UV matahari selama kurang lebih 5 sampai 10 tahun. Geomembrane merk Urban Plastic mempunyai bahan 100% Non Recycle Material, sehingga sangat kuat, lentur, tidak mudah robek, tidak mudah rusak dan tahan lama. Geomembran ini juga terbuat dari bahan HDPE Food Grade dan Halal.





Geomembrane Lokal


Geomembrane impor Amerika/Canada merk Solmax


Geomembrane impor China



Kelebihan Geomembran merk Urban Plastic
Kedap Air
Kemampuan geomembran merk Urban Plastic untuk mencegah infiltrasi atau eksfiltrasi cairan adalah keunggulan utamanya untuk aplikasi seperti kolam penampungan, lapisan pembatas landfill, kolam pertambangan, dan banyak lagi.
Ketahanan Kimia
Geomembran merk Urban Plastic tahan terhadap banyak zat kimia, yang membuatnya ideal untuk aplikasi di mana mungkin ada kontaminan, seperti di tempat pembuangan limbah.
Durabilitas
Geomembran merk Urban Plastic dapat tetap berfungsi dengan baik selama beberapa dekade jika dipasang dan dipelihara dengan benar.
Fleksibilitas
Geomembran sangat fleksibel, yang memungkinkan mereka beradaptasi dengan permukaan yang tidak rata atau pergerakan tanah.
Instalasi yang Cepat
Geomembran biasanya diproduksi dalam rol besar, yang mempercepat proses konstruksi.
Biaya Efektif
Penggunaan geomembran dapat menghemat uang dalam jangka panjang karena tidak memerlukan material alami seperti tanah liat.
Bagaimana cara pemasangan geomembran?
Pemasangan geomembran memerlukan persiapan permukaan yang rata dan bersih dari benda tajam. Geomembran digulungkan dan ditempatkan sesuai desain. Sambungan antar lembaran harus dielas atau disambung dengan metode yang memastikan kedap air, seperti pengelasan termal. Pengujian kebocoran seperti pengujian udara atau vakum diperlukan untuk memastikan integritas sambungan. Penutupan dengan lapisan pelindung atau tanah mencegah kerusakan mekanik dan degradasi UV.
Apa keuntungan menggunakan geomembran?
Menggunakan geomembran menawarkan keuntungan seperti kedap air yang efektif, perlindungan terhadap kontaminasi tanah dan air tanah, dan ketahanan terhadap bahan kimia agresif. Geomembran juga memiliki fleksibilitas dan kekuatan tarik tinggi, cocok untuk aplikasi dengan perubahan bentuk atau tekanan. Ini adalah solusi ekonomis dengan masa pakai panjang untuk proyek-proyek seperti landfill, kolam retensi, dan konstruksi waduk, memberikan keberlanjutan lingkungan dan keamanan.
Bagaimana cara memelihara dan memeriksa geomembran?
Pemeliharaan geomembran melibatkan pemeriksaan berkala untuk kerusakan atau deformasi dan memastikan tidak ada eksposur berlebih terhadap sinar matahari yang dapat menyebabkan degradasi UV. Inspeksi harus mencari kebocoran atau keretakan yang dapat diakibatkan oleh tekanan atau benda tajam. Pemeliharaan yang proaktif dan perbaikan segera dari kerusakan dapat memaksimalkan umur layanan geomembran, menjaga integritas dan efektivitasnya dalam mengontrol aliran cairan atau gas.
Apa perbedaan antara geomembran dan geotextile?
Geomembran adalah lapisan kedap air yang mencegah pergerakan cairan dan gas, biasa digunakan sebagai pelapis untuk landfill dan kolam. Sedangkan, geotextile adalah material permeabel yang digunakan untuk memisahkan, memfilter, memperkuat, melindungi, atau mendrainase tanah. Perbedaan utama antara keduanya adalah geomembran bersifat impermeabel, menghalangi aliran air, sementara geotextile memungkinkan aliran air tetapi menghalangi partikel tanah, sering digunakan dalam konstruksi jalan dan drainase.
Berapa lama umur layanan geomembran?
Umur layanan geomembran tergantung pada banyak faktor seperti material, kondisi lingkungan, dan pemasangan. Material geomembran berkualitas tinggi yang terpasang dengan benar dalam kondisi optimal dapat memiliki umur layanan hingga 100 tahun atau lebih. Kondisi yang ekstrem seperti paparan terhadap bahan kimia atau radiasi UV dapat mengurangi umur layanan. Untuk memaksimalkan durabilitas, pemasangan yang tepat dan perlindungan terhadap kerusakan mekanis dan degradasi adalah penting.

Produk Lainnya

Pipa HDPE
Pipa HDPE (High-Density Polyethylene) adalah pipa yang terbuat dari polietilena berdensitas tinggi dan digunakan dalam berbagai aplikasi termasuk pengairan, pasokan air bersih, jaringan gas, dan lain-lain.

Geogrid
Geogrid digunakan untuk memperkuat tanah pada lereng, memperkuat konstruksi jalan, dan sebagai abutment jembatan. Proses pengaplikasian geogrid cepat dan mudah dengan harga yang murah.